√70以上 à¤êi Vs lC ÈP 600543
What Will Your Unicorn Name Be Unicorn Names Funny Name Generator Names
à¤êi Vs lC È'P
à¤êi Vs lC È'P-


S Corp Vs C Corp Differences Benefits Bizfilings


Breast And Thigh Meat L A And B Values Assessed In Two Regions Download Table


Understanding Passe Compose


Pcr Products Derived From The A Genes Of Avian E Coli Strains With Download Scientific Diagram


Latin Alphabet Wikipedia


Accents Accented Characters Fonts Com Fonts Com


Ahbar Eger


Primizie Di Canto Fermo Egg T R B G Ten T7 Irtzp2 Gi P 7 J 1 H A J F F I F F If Fnf Nrj7 L Z I Srv O G I P 33


Excelsior Shea Butter Hair Mask Packette For Damaged Split Ends Provides Intensive Nourishing Protective Care Repairs Stimulates Regenerates Damaged Split Ends 1 Oz Walmart Com Walmart Com


Amazon Com Excelsior Hair Mask Collection 6 Oz 4 Count Beauty


Le Conditionnel The Conditional In French


Standby Letter Of Credit Sloc Definition


Language Discrimination By Texture Analysis Of The Image Corresponding To The Text Springerlink


99 1a High Resolution Stock Photography And Images Alamy


Vietnamese Alphabet Wikipedia


Wolves V Sevilla As It Happened Besoccer


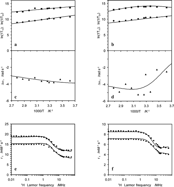
Lanthanide Chelates Of Bis Hydroxymethyl Substituted Dtta With Potential Application As Contrast Agents In Magnetic Resonance Imaging Dalton Transactions Rsc Publishing


O Gog High Resolution Stock Photography And Images Alamy


A Beturend Sutori


5b High Resolution Stock Photography And Images Alamy


What Will Your Unicorn Name Be Unicorn Names Funny Name Generator Names


Pdf Psychosocial Understanding Of Self Stigma Among People Who Seek Treatment For Drug Addiction


The Ultimate Guide To The Passe Compose French Together


All Ireland Senior Hurling Championship Final Dublin V Waterford 05 09 1948 09 05 1948 5th September 1948 Irish Photo Archive


Fancy Letters ꭿ น ꭿ ℊ ℬ Copy And Paste Unicode Character Table


Why Are A E I O U And Y Called Vowels Dictionary Com


Pdf Influence Of Treadmill Gait Training With Additional Load On Motor Function Postural Instability And History Of Falls For Individuals With Parkinson S Disease A Randomized Clinical Trial


Mental Health Substance Use And Suicidal Ideation During The Covid 19 Pandemic United States June 24 30 Mmwr


Letter Case Wikipedia


管理 罗定职业技术学院经管系毕业实习手册下载 Word模板 爱问共享资料


Brand New Mary Kay Mineral Cheek Color Strawberry Cream Magnet Pan Ebay


Interaction Of Triapine And Related Thiosemicarbazones With Iron Iii Ii And Gallium Iii A Comparative Solution Equilibrium Study Dalton Transactions Rsc Publishing


Phoenician Alphabet Wikipedia


Sars Cov 2 Viral Load In Upper Respiratory Specimens Of Infected Patients Nejm


Altgr Key Wikipedia


International Phonetic Alphabet Wikipedia


Voiced Vs Voiceless Consonants


Son Initial French Beginning Sound Initials Sons French Immersion Primary


Le Plus Que Parfait The Pluperfect In French


Soybean Rust P Pachyrhizi Appraised Severity After Treatment Of Download Scientific Diagram


Working Capital Nwc Definition


Iau Volume 14 Issue 342 Cover And Back Matter Proceedings Of The International Astronomical Union Cambridge Core


S N High Resolution Stock Photography And Images Page 62 Alamy


Armide Tragedie Lyrique 5 Acts C Yl Z Jil 9 Tr E F F C T 7 Gt 1 T If W Jt Tirt J C J Lt It C C Lt R Ex


H3 High Resolution Stock Photography And Images Page 6 Alamy


Grave Accent A E U Lawless French Pronunciation


J O L L M I L Glne J O L L M I L Glne N V 1 Hol Ne J F Ua Ppt Download


File Ch Du Vivier De Streel Li Pantalon Trawe 1868 In Asllw T 4 P 51 53 Djvu Wikimedia Commons


Z D S B High Resolution Stock Photography And Images Page 14 Alamy


S Corp Vs C Corp Differences Benefits Bizfilings


Primizie Di Canto Fermo Egg T R B G Ten T7 Irtzp2 Gi P 7 J 1 H A J F F I F F If Fnf Nrj7 L Z I Srv O G I P 33


Wade Giles Wikipedia


Altura De Planta A Diametro De Caule B E Materia Seca C De Download Scientific Diagram


Resurgence Of Covid 19 In Manaus Brazil Despite High Seroprevalence The Lancet


Azerty Wikipedia


Open Interest Definition


Safety And Efficacy Of An Rad26 And Rad5 Vector Based Heterologous Prime Boost Covid 19 Vaccine An Interim Analysis Of A Randomised Controlled Phase 3 Trial In Russia The Lancet


Pdf Manihot Cezarii Euphorbiaceae A New Species From Central Western Brazil


Pdf Laparoscopic Repair Of Congenital Pleuroperitoneal Hernia Using A Polypropylene Mesh In A Dog


Pieces De Clavecin M 2 Jw3 Fe Ri Tetr 1 C I M J Cofi1 1 N Jnw I I I Jl J Ejpinw J Cii See E E F I G 5 Jg L I Ip


R B High Resolution Stock Photography And Images Page 127 Alamy


International Phonetic Alphabet Wikipedia


Cyclically Adjusted Price To Earnings Ratio Wikipedia


Pdf Factors Affecting Seed Germination And Seedling Emergence In Rue Ruta Graveolens L


Ch 3e High Resolution Stock Photography And Images Alamy


Property Plant And Equipment Pp E Definition


Database Protection In A Global Economy Cairn Info


Pdf On The Derivation Of Radial Velocities Of Sb2 Components A Ccf Vs Todcor Comparison


コメント
コメントを投稿